Graphical linear algebra is about the beautifully symmetric relationship between the operations of adding and copying numbers. The last episode was all about adding, the white structure of our diagrammatic language, using the new relational intuitions. Since copying, the black structure, is the yin to adding’s yang, in order to attain karmic balance we start this episode by shifting our focus to black diagrams. It turns out that the story is eerily similar: it’s the bizarro world all over again.
So, let’s take stock of what we know about copying. Here’s the generator that we already know quite well:
With the relational interpretation, it represents the relation Num ⇸ Num×Num with elements
where x is any number. All this is saying, in the language of relations, is that the behaviour of the copying generator ensures that the three values on the dangling wires are all the same.
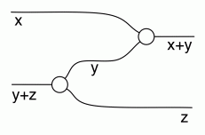
The relational interpretation of discard, copy’s sidekick
is a relation of type Num ⇸ {★}, but unlike zero from the last episode, it is not a singleton relation. Instead, it contains all elements of the form
( x, ★ )
where x is any number. This just means that discard, unlike backwards zero that “accepts” just 0, is not discriminating in the slightest.
From Episode 7, we know that copy and discard satisfy the commutative comonoid equations:
And of course, these still make sense with the new, relational interpretation.
In the last episode we introduced the mirror image of the adding generator.This was backed by the relational interpretation; by thinking in terms of relations we could make sense of what it means to “add backwards”.
We can now do a similar thing with the copy and discard generators. We get a brand new generator, a backwards copy, or “copy-op”:
which, although not a function from left to right, is a relation of type Num×Num ⇸ Num. This relation is, as expected, the opposite of the one for ordinary copy:
The second new generator is the backwards discard
with relation { (★, x) | x ∈ Num }.
Not surprisingly, the mirror images of copy and discard satisfy the mirror versions of the equations for copy and discard.
Now that we’ve seen both reverse adding and reverse copying, it’s natural to ask if anything interesting happens if these two structures meet. Back in Episode 8 we went through what happens when the ordinary versions of adding and copying meet.
So imagine you are standing in front of someone who is looking in the mirror. Do you get any more information from looking at the mirror than directly at the person? Typically not so much, the information is the same, but reversed. This is also the case for mirror add and mirror copy: they interact in the same ways, but backwards. Here’s a rundown of the equations; they are just the mirror image of the ones we discussed in Episode 8.
As in the case of adding, the interesting stuff happens when copying meets its mirror image. If you’ve just read the previous episode, the equation below will fill you with a sense of déjà-vu.
Yes, it’s none other than a black version of the famous Frobenius equation.
In the last episode, to see that the white version of (BFrob) made sense, we had to do a few, admittedly simple, calculations. Here, the job is even easier: the copy generator carries the same value on all the wires; so tagging wires with the numbers that flow on them we see that the behaviour of the left hand side of (BFrob) ensures that all of the wires carry the same value.
The story is similar for the right hand side of (BFrob).
In both the left and the right hand side of (BFrob), it’s thus quite simple to compute the underlying relation: it contains as its elements those pairs of elements that look like this
where x is any number. The relations of the left and the right hand sides agree, so (BFrob) makes sense for copying.
So what other equations hold? Here’s another one that we’ve seen a few times by now: the special equation.
Again, just by looking at the thing, it’s pretty obvious that it works. On the left hand side of (BSpecial), the copy and it’s mirror image make sure that all the wires carry exactly the same value, meaning that the only behaviour exhibited is the one where the values on the dangling wires are the same. Which is the same behaviour as that of a single wire, the right hand side of (BSpecial).
Finally, we also have the bone, in black.
Summing up, we have identified three equations, just as we did in the last episode.
Since we’ve now seen the Frobenius equation in two different contexts, it’s worthwhile to step back and see what interesting properties hold in Frobenius monoids, the algebraic structure that we mentioned briefly in the last episode. Stepping back and thinking more generally will help us get a better feeling for what’s going on under the hood. For the purposes of this discussion, we will switch to anonymous gray mode, remembering that the gray can be replaced either by white or black.
Here are the equations of Frobenius monoids again.
There are two interesting diagrams that can be built using the generators in any Frobenius monoid. First, we have a diagram with two dangling wires on the left and none on the right:
and second, its mirror image, with two wires on the right and none on the left:
Now, we can plug these two constructions into each other to form two different kind of “snakes”:
These two are involved in the snake lemma: both the snakes are actually equal to the identity wire. So, one intuitive way to think of gadgets ① and ② is that they are a bent wire. When we compose such bent wires, we can stretch them back to get an ordinary straight wire.
Here’s a proof of the second equality, which uses the Frobenius equation. The proof for the other equality is similar.
Because of the snake lemma, it turns out that any PROP with a Frobenius monoid structure is an instance of something called a compact closed category. Compact categories are all about bending things; we will say more about them in future episodes.
Maths is full of pretentiously sounding “fundamental theorems”, although perhaps this kind of language has become somewhat passé in recent decades. There’s the fundamental theorem of calculus, fundamental theorem of algebra, and a fundamental theorem of x for several other choices of x. The adjective fundamental is not really a precise classification; there is no definitive, widely accepted test of fundamentality. Rather, it’s more of a sociological endorsement that identifies a particular result because it holds some kind of spiritual, quintessential centrality for the field in question. A feeling that the point of view expressed by the theorem is a nice representation, a microcosm, of the subject as a whole.
Similarly, some people call the Euler identity eiπ + 1 = 0 the “most beautiful equation” because it links, in one statement, some of the most important 19th century mathematical concepts: e, i, π, with timeless favourites 1 and 0. The 1 and the 0 may seem to be a bit contrived, and -1 seems to be getting a short shrift, why not eiπ = -1? Not that I want to pick a fight with Euler.
It’s time for two particularly useful equations. In the spirit of pretentiousness and Platonic pompousness, we could call these the fundamental equations of graphical linear algebra, or the most beautiful equations, since they involve all of the generators that we have considered so far. But let’s not.
Here are the equations, which are mirror images of each other. Both feature the kind of “bent wires” that we were talking about before.
Let’s focus on ③ and calculate the relations. In the left hand side, we are composing the relation
with the singleton relation
The operation of composition can be thought of as imposing a condition on the result of x+y. Indeed, the composed relation consists of those elements
where x+y=0. But to say that x+y=0 is to say that y=-x. In other words, the relation can be described as consisting of elements
where x is any number. But this is clearly the relation represented by the right hand side of ③, since the relational interpretation of the antipode is the relation with type Num ⇸ Num that consists of pairs (x,-x) for all numbers x.
The justification for ④ is symmetric.
We have seen the snake lemma, it’s time for the spider theorem. It applies in special Frobenius monoids — those Frobenius monoids in which we also have the special equation. This, as we have seen, covers both the copying and the adding in graphical linear algebra. Here are the relevant equations.
In a very precise sense that we will eventually make clear, this theory, lets call it F, is dual to the theory we have been calling B, the theory of bimonoids. Remember that B consists of those equations that describes the interactions between adding and copying. Here’s a reminder of the equations, which by now we know quite well.
Back in Episode 16, when we were proving that a diagram in B is really the same thing as a matrix of natural numbers, we argued that diagrams in B can be factorised so that all the comonoid structure comes first, then the monoid structure: doing this made our diagrams look a lot like matrices. In F, the theory of special Frobenius monoids, the opposite thing is true: any diagram can be factorised so that all the monoid structure comes first, followed by all the comonoid stuff.
What this means is that any connected diagram from m to n is equal to the one in the picture below, where we use our usual syntactic sugar that collapses repeated multiplications and comultiplications:
This suggest an even better syntactic sugar for connected diagrams in special Frobenius monoids: a spider!
So—long story short—any diagram in F can be seen as a collection of jumbled up spiders: this result has become known as the spider theorem. Here’s an example with three spiders.
Notice that if we have the bone equation around, we can get rid of the unfortunate legless spider. One more thing: when two spiders connect, they fuse into one spider. This is a really nice way of thinking about diagrams in F.
The spider theorem was proved by Steve Lack, in the paper Composing PROPs that we have already mentioned on more than one occasion. But later, it took on a life of its own, due to the usefulness of diagrammatic reasoning in quantum computing. The person probably most responsible for this is Bob Coecke; this paper with Eric Paquette is a good example of spiders in action.
It’s again been a pretty hectic few weeks for me.
Two weeks ago I was in Lyon for Fabio’s PhD defence. It’s now possible to download his thesis, which received high praise from the very impressive thesis committee. The thesis is currently the most thorough account of graphical linear algebra and its applications, so do take a look! After a well earned doctorate, Fabio has now moved to Nijmegen in the Netherlands to take up a postdoc.
Last week I was deep in paper writing mode, trying to meet the FoSSaCS deadline. If you remember Episode 2, this for me means pretty hard work. I get a bit too obsessive when writing, and the process takes up all of my time and energy: fortunately, the closer to the deadline, the more the adrenaline kicks in to keep you going. Deadlines are great at forcing you to get something done, but afterwards you end up feeling somewhat exhausted. So I tried writing for the blog this last weekend and it ended up feeling a bit too much like work, which is really not the point.
The paper itself, which has just been put up on the arXiv, is something that I’m really excited about. If you flick through it, I’m sure that you will recognise many of the equations! My coauthors are Brendan Fong, a brilliant PhD student of John Baez, whom we met in Episode 10, and Paolo Rapisarda, who is a control theorist in Southampton and an ex-PhD student of Jan Willems, whom we met in Episode 20. Academia is a small world. Anyway, it was a really fantastic collaboration; I very much enjoyed doing the research and I learned a lot from both Brendan and Paolo.
The paper is about the class of linear time-invariant dynamical systems, a foundational playground of control theory, where basic concepts that gave birth to the subject, such as controllability and observability, show up. In the paper, we give an equational characterisation—which means, for example, that questions about controllability can be reduced to looking at the shape of the diagrams that represent dynamical systems.
Next week I’m off to Cali, Colombia to talk about graphical linear algebra and its applications at the ICTAC conference. Then, hopefully, the noise will die down a little bit so that I can spend a bit more time on the blog.
Continue reading with Episode 24 – Bringing it all together.





















































